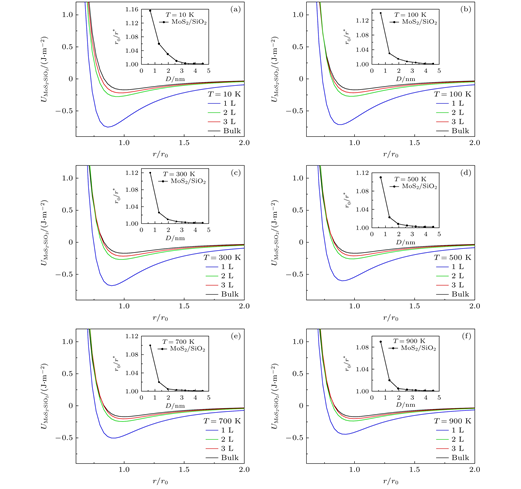
公司2020级物理学(师范)本科生段聪以“MoS2/SiO2界面黏附性能的尺寸和温度效应”为题在物理学报上发表论文。该工作研究了尺寸和温度对MoS2/SiO2界面黏附性能的影响,预测了在不同尺寸和温度下MoS2从SiO2衬底上“脱落”的条件,为理解二维材料与衬底之间的黏附性能提供了物理基础。
该研究工作以william威廉亚洲为第一单位,段聪为第一作者,学院董健生博士和湖南师范大学欧阳钢教授为共同通讯作者。研究工作得到了国家自然科学基金(批准号:12364007)、湖南省教育厅科研基金(批准号:21B0502)、国家级老员工创新创业训练项目(批准号:202210531007)和湖南省老员工创新创业训练项目(批准号:S202310531036)资助的课题。
论文链接:https://wulixb.iphy.ac.cn/cn/article/doi/10.7498/aps.73.20231648

(审核责任人:伍建华)