您所在的位置:首页 团队建设 科研成果

科研成果

公司物理学研究生在高性能压电自旋晶体管领域取得新进展


近日,公司物理学专业2018级研究生严雪飞在纳米压电自旋晶体管方面取得新进展,相关研究成果“High Performance Piezotronic Spin Transistors using Molybdenum Disulfide Nanoribbon”在Nano EnergySCI一区,IF=15.548)发表。william威廉亚洲为第一单位,严雪飞为论文第一作者,其校外导师为湖南工程学院陈桥教授,校内导师为彭金璋教授。

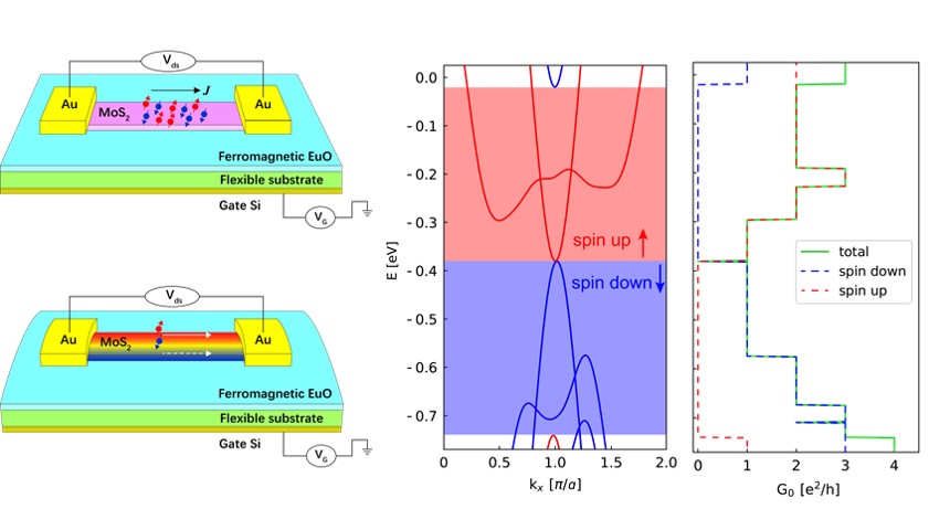
该工作利用单层二硫化钼的压电特性调控二硫化钼纳米带的边缘态,同时通过非局域交换场实现边缘态的自旋劈裂,从而实现自旋极化输运。其原因在于由应力引起的压电电场会使边缘态发生相变,即从金属相转变成半导体相。然而,当同时存在非局域交换场和应力时,纳米带边缘态会在应力的作用下转变为半金属态。自旋极化行为同时受到应力和非局域交换场的调控,在施加应力大于3.6%时,可以实现100%的自旋极化。该工作为设计单层二硫化钼的高性能压电自旋晶体管提供了新思路和途径。

论文链接:https://doi.org/10.1016/j.nanoen.2020.104953