您所在的位置:首页 团队建设 科研成果

科研成果

黄柏林博士团队利用手征微扰论在强子间相互作用领域取得新进展

近日,公司黄柏林博士团队利用手征微扰论在强子间相互作用领域取得新进展。相关成果以Pion-nucleon scattering to O(p3 ) in heavy baryon SU(3) chiral perturbation theory”为题,发表在国际物理期刊PhysicalReviewD上。

自然界中存在四种基本相互作用力,作为描述强相互作用的量子色动力学(Quantum Chromodynamics, QCD)在低能区域变成了非微扰的,那么直接利用QCD来计算强子间相互作用变得非常困难。作为低能QCD的一种有效理论,手征微扰论(Chiral Perturbation Theory, ChPT)用来计算模型无关的介子-重子散射振幅是非常好的一个框架。为了解决重子在ChPT中的幂律规则,人们提出了重重子方法和扩展的在壳等相对论方法。重重子ChPT具有计算相对简单、相对论修正项与散射振幅分离等优点。

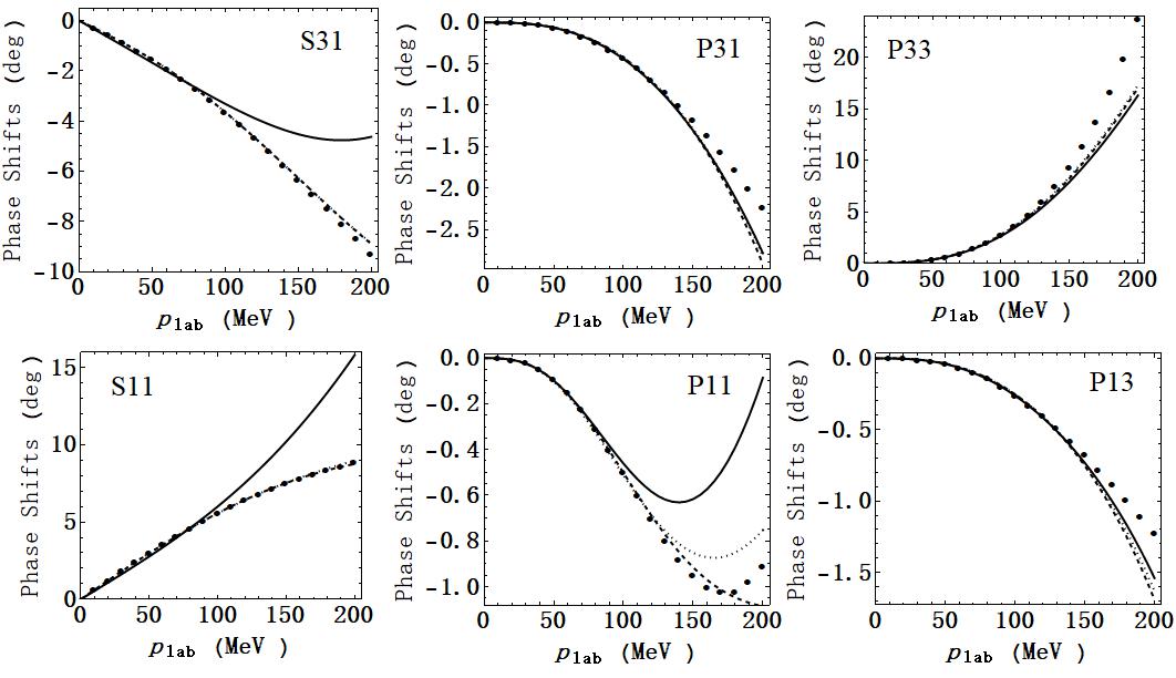
本论文利用SU(3)重重子ChPTπ介子-核子(πN)散射振幅完整地计算到了第三阶。并且,通过πN散射相移和重子质量同时拟合确定了散射振幅中出现的手征极限下重子质量和相关低能常数。利用这些参数,预测得到πN值为34.5711.85MeV,此值与暗物质的直接探测联系紧密。然后,当直接利用πN散射相移拟合参数时,对πN散射的SP波在200MeV以下也给出了一个非常好的描述。本研究可以继续扩展到第四阶,从而对相关物理量给出一个非常精确的预测以及详细讨论手征微扰论的收敛性。

该工作得到了国家自然科学基金(11947036)的支持。

据悉,黄柏林为学院2018年引进的博士。他的科研成果的取得为新引进博士的科研工作开了一个好头。值得一提的是,作为团队的一员,物理学专业本科生欧阳菁也参与了该研究。

论文链接:https://link.aps.org/doi/10.1103/PhysRevD.101.056021